প্রথমবারের মত , বিজ্ঞানীরা কোয়ান্টাম পদার্থবিজ্ঞানের জগতে Π এর জন্য একটি ক্লাসিক সূত্র আবিষ্কার করেছেন। আমরা সকলেই জানি যে, Π একটি গুরুত্বপূর্ণ গাণিতিক ধ্রুবক, মোটামুটিভাবে এর মান ৩.১৪১৫৯। ইউক্লিডীয় জ্যামিতিতে যেকোনও বৃত্তের পরিধি ও ব্যাসের অনুপাতকে এই ধ্রুবক দ্বারা প্রকাশ করা হয়, এবং বিশুদ্ধ গণিতে অবিশ্বাস্যভাবে গুরুত্বপূর্ণ।কিন্তু বিজ্ঞানীরা যখন কোয়ান্টাম বলবিজ্ঞান ব্যবহার করে একটি হাইড্রোজেন পরমাণুর শক্তির মাত্রা তুলনা করতে যায় তখনই পদার্থবিজ্ঞানের জগতে এই সূত্রকে "লুকোনো" অবস্থায় পাওয়া যায়।

এটা অবিশ্বাস্যভাবে কোয়ান্টাম পদার্থবিদ্যা এবং গণিতশাস্ত্রের মধ্যে পূর্বে অজানা একটি বিশেষ সংযোগ স্থাপন করে।
আবিষ্কারের সূত্রপাত হয় যখন কার্ল হেগেন(particle physicist at the University of Rochester) কোয়ান্টাম মেকানিক্স ক্লাসে তার এক ছাত্রকে বুঝাচ্ছিলেন যে, কিভাবে কোয়ান্টাম মেকানিক্যাল টেকনিক ব্যাবহার করে মোটামুটি ভাবে হাইড্রোজেন পরমাণুর শক্তির মাত্রা নির্ণয় করা যায় যা “প্রকরণ নীতি” নামে পরিচিত।
যখন সে এই মান প্রচলিত গণনার সাথে তুলনা করতে গেলেন তখনই তিনি অনুপাতের মধ্যে একটি অস্বাভাবিক প্রবণতা লক্ষ্য করেন। তখন তিনি গবেষণা পরিষদের অন্যতম সদস্য তামার ফ্রিডম্যান(mathematician at the University of Rochester in the US) কে এই প্রবণতার রহস্য উৎঘাটনের জন্য সাহায্য চাইল , তারা খুব দ্রুতই বুঝতে পারলো যে এটা আসলে Pi এর ওয়ালিস সূত্রের প্রকাশ ছিল যা প্রথমবারের মত পদার্থবিদ্যা থেকে উদ্ভূত হয়েছে। “কিন্তু আমরা Pi এর ওয়ালিস সূত্র খুঁজছিলাম না” বলেন কার্ল হেগেন। ফ্রিডম্যান আরো বলেন “ আমরা আনন্দে উপরে থেকে নিচে লাফালাফিই করতে শুর করি যখন লক্ষ্য করি যে হাইড্রোজেন পরমাণুর জন্য যে সমীকরণ তাতে ওয়ালিস সূত্র প্রকাশ পাচ্ছে ”।
ফ্রিডম্যান ও কার্ল হেগেন এর আবিষ্কৃত সমীকরণ:

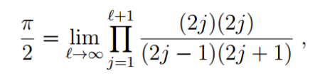
যা ওয়ালিস সূত্রের সাথে মিলে যায়ঃ
the classic Wallis formula:

1655 সাল থেকে ওয়ালিস এর সূত্র প্রমাণ প্রচুর আছে, এই ফলাফলটি the Journal of Mathematical Physics. এ প্রকাশিত হয়েছে।
আপনারা Wallis's এর Arithmetica Infinitorum বই এর ২ টি পাতা দেখতে পারেন যা নিচে দিয়ে দিলামঃ

গণিতশাস্ত্র অবদানকারী কেভিন Knudson ফোর্বস এ লিখেছেন “This almost seems like magic ”। তিনি আরো বলেন যে “এটা খুবই বিস্ময়কর এবং আনন্দদায়ক যে Π এর একটি সূত্র হাইড্রোজেন পরমাণুর কোয়ান্টাম বলবিজ্ঞানের ভিতরে লুকানো ছিল যা ৩০০ বছর পর আবিষ্কৃত হল।”
ফ্রিদম্যান রসিকতা করে বলেন যে “প্রকৃতি আমদের কাছে যা আজ অবধি লুকায়িত রেখেছিল তা অবশেষে উন্মূক্ত করতে পারলাম । যা এখনই পাই নি, তা খুব শীঘ্রই খুজে পাব, অনেকটা প্রকৃতির বিরুদ্ধে যুদ্ধ ঘোষণা । ”
সর্বশেষ এডিট : ১৫ ই নভেম্বর, ২০১৫ রাত ১০:১৭

অনুগ্রহ করে অপেক্ষা করুন। ছবি আটো ইন্সার্ট হবে।




