প্রথম পর্ব
বসন্তের কোনো এক বিকেলে দখিনা হাওয়ায় শরীর টা এলিয়ে সবুজ মাঠে শুয়ে থাকার অনুভূতি অনেকেরই আছে। চোখটা বন্ধ করে যখন বাতাসের স্পর্শ নিজের শরীরে অনুভূত হয় তখন নিজেকে বেশ হালকা মনে হয়। মনে হয় আমি ভরহীন। এক অদ্ভূত অনুভূতি! ভরহীন যদি হতে পারতাম তাহলে হয়তো পাখিদের সাথে ডানা মেলে উড়ে বেড়াতে পারতাম আর দেখতাম সবুজ তেপান্তরের ঐ পাড়ে কিভাবে নীল আকাশ মিশে যায়!
কিছু তথ্য:
১) হিগস বোসনের "দ্য গড পার্টিক্যাল" নামকরন করেছিলেন নোবেলবিজয়ী পদার্থবিজ্ঞানী লিওন লিডারম্যান কারন এই সাব এটমিক পার্টিক্যালের কারনেই এই মহাবিশ্ব ভরপ্রাপ্ত হয়েছে বলে ধারনা করা হয়!
২) আমরা মনে করি আমাদের প্রচলিত মহাবিশ্বের সৃষ্টি এক প্রচন্ড বিগব্যাং এ যেখানে কজালিটি ইনিশিয়েটিভ হিসেবে দেখি গ্রাভিটিকে আর এই মহাবিশ্ব গড়ে উঠার পিছনে যেটা কাজ করেছে সেটা হলো এর নিজস্ব স্বতঃস্ফূর্ততা। সেহেতু এসব কিছুর পিছনে কিছু মৌলিক বিষয়ের উপর মহাবিশ্ব তৈরী হয়েছে সেটা বোঝাবার জন্য পদার্থবিজ্ঞানে স্ট্যান্ডার্ড মডেল দাড়া করানো হয়েছে। যার মূল লক্ষ্যই হলো গ্রান্ড ইউনিফাইড থিওরেমের জন্য কাজ করা।
৩) এ যাবৎকাল এই স্ট্যান্ডার্ড মডেল দ্বারা ভাবিষ্যতবানী কাটায় কাটায় মিলে গেছে শুধু মিলছে না এই হিগস বোসন আর গ্রাভিট্রন। গ্রাভিট্রন কনাটার পিছনে থিওরী দিয়ে কাজ করাটা খুব একটা কঠিন কিছু হবে না কিন্তু তার আগে এই হিগস বোসন খুজে পাওয়া খুবই দরকার!
স্ট্যান্ডার্ড মডেলের দ্বারা চিহ্নিত চারটা মৌলিক বল এবং তাদের মিথসক্রিয়ায় তৈরী করা সমূহ নীচের মতো সংক্ষেপিত করা যায়!
গ্রাভিটি- গ্রাভিট্রন
দুর্বল- W+, W-, Z
তড়িৎ চৌম্বক- ফোটন
শক্তিশালী- গ্লুওন
এখানে গ্রাভিটি, দুর্বল আর তড়িৎ চৌম্বক মিলিয়ে ইলেক্ট্রন, মিওন, আর কোয়ার্কের সৃষ্টি হয় আর উপরের চারটি মিলিয়ে কোয়ার্কের সৃস্টি হয়।তাহলে বোঝা যাচ্ছে এই চারটি মৌলিক বল দিয়েই পুরো ইউনিভার্সের ব্যাখ্যা দাড় করানো যায়।
নীচের টেবিল থেকে আরো বিস্তারিত জানা যাবে কে কোন সাব এটমিক পার্টিক্যালের কি অবস্হা:
আগের পোস্টে ব্যাখ্যা করেছি হিগস ম্যাকানিজম আর হিগস পার্টিক্যাল সম্বন্ধে আর একটা উদাহরন দিয়েছিলাম সুন্দরী অভিনেত্রী যখন হল রুমে প্রবেশ করে এবং কিভাবে সে ভরপ্রাপ্ত হয়। এটাই মূলত হিগস ম্যাকানিজমের কাহিনী।
ফারমিওন সহ যেসব পার্টিক্যাল দুর্বল বলের ধর্ম প্রদর্শন করে তারা হিগস ফিল্ডের মধ্যে চলাচল করবার সময় এর সাথে মিথস্ক্রিয়ায় অংশ নেয় বলেই তারা ভরপ্রাপ্ত হয়। ভারী পার্টিক্যাল সমূহ আরো বেশী পরিমানে মিথস্ক্রিয়ায় অংশ গ্রহন করে বলে আরো বেশী ভারী হয়ে যায়।আর যারা মিথস্ক্রিয়ায় অংশগ্রহন করে না তারা ভরপ্রাপ্তও হয় না!
উপরের বোল্ড কৃত অংশটুকু মনে রাখলে মনে হয় না এই পো্স্ট বুঝতে কারো অসুবিধা হবে।
আমাদের কেন হিগস বোসনের এতো প্রয়োজন?
স্ট্যান্ডার্ড মডেলের সিমেট্রি বা প্রতিসাম্য ঠিক রাখতে হলে সকল পার্টিক্যালকে ভরহীন হতে হবে। কিন্তু এটা সম্ভব না কারন এক্সপেরিমেন্ট অনুসারে দুর্বল বল ব হনকারী কনিকাগুলোর ভর বিদ্যমান আগে থেকেই।
ইউকুওয়া ফরমুলা অনুসারে (R= h/(2πcµ) যেখানে R হলো সকল শক্তির রেন্জ্ঞ বা কর্মপরিধি আর µ হলো ভেক্টর বোসন বা ফিল্ড কোয়ান্টামের ভর) বল ব হনকারী ভর শক্তির রেন্জ্ঞের ব্যাস্তানুপাতিক। এভাবে আমরা দুর্বল শক্তি বহনকারী কনিকাদের ভরের ব্যাপারটা সমাধান করা যায়(এটা তাত্বিক ভাবে এভাবে বলা যায় প্রকৃতিগত ভাবে শক্তিশালী ভরের এই ব্যাপারটা একটা ব্যাতিক্রম ঘটনা)।
হিগস ম্যাকানিজমটার ধারনাটাই এসেছে W এবং Z বোসনের ভরের ব্যাপারটাকে বোঝানোর জন্যই।আর পদার্থবিজ্ঞানীরা ঠিক এভাবেই ফার্মিওন কনিকা সমূহের ভরের ব্যাপারটা ব্যাখ্যা করেন।
ল্যাঙ্গ্রান্জিয়ান ম্যাকানিকস অনুযায়ী গজ ট্রানসফর্মেশনে স্ট্যান্ডার্ড মডেলের প্রতিসাম্যতা নিখুত ভাবে বজায় থাকে। হিগস ম্যাকানিজমকে বাদ দিলে স্ট্যান্ডার্ড মডেলের প্রতিসাম্যতা ঠিক থাকে যদি বল ব হনকারী কনাসমূহ ভরহীন হয় কিন্তু ফলাফল তখনই উল্টাপাল্টা হবে যখন দুর্বল শক্তি বহনকারী কনিকা সমূহ ভরপ্রা্প্ত হয়।
তাই হিগস ম্যাকানিজমের ধারনাটা স্বতঃস্ফূর্ত প্রতিসাম্যতাকে ভেঙ্গে ফেলে কিন্তু স্ট্যান্ডার্ড মডেলের ওভারঅল প্রতিসাম্যতা ঠিক রাখে বলেই ডেভেলপাররা এটা নিয়ে কাজ করা শুরু করেছে।
এখানে শুধুমাত্র একটা মাত্র নির্দিষ্ট বিন্দুতে স্ট্যান্ডার্ড মডেলের প্রতিসাম্যতা ভেঙ্গে যায়।
এই প্রতিসাম্যতার এক বিন্দুতে ভেঙ্গে যাওয়াটাকে আমরা দুটো উদাহরন দিয়ে ব্যাখ্যা করতে পারি:
দেখা গেলো একটা বিয়ের অনুষ্ঠানে গোল টেবিলের ব্যাবস্হা হলো ডিনারের জন্য। প্রতিটা টেবিলে গোল করে প্লেটের পাশে গ্লাস আর চামচ রাখা হলো আর গোল করে চেয়ার সাজানো হলো। এখন যে লোকটি প্রথমে বসবেন সে যদি ডান পাশের গ্লাসটি তার জন্য বেছে নেন তাহলে সবাইকে ডানপাশের গ্লাসটিকেই বেছে নিতে হবে। তার মানে সে যে পাশটাকে বেছে নিচ্ছেন সবাইকে বাধ্য হয়ে সে পাশটাকেই বেছে নিতে হবে। বাসায় গোল টেবিল থাকলে এটা পরীক্ষা করতে পারেন।
আরেকটা উদাহরন দিতে পারি, যেটা হলো একটা ম্যাক্সিকান টুপি নীচের ছবির মতোই যেখানে আপনি একটি বল রেখে দিলেন ঠিক ওর চূড়ার উপর। আপনি বলটার উপরই ছেড়ে দিলেন বলটা কোন দিক দিয়ে পড়ে চলা শুরু করবে। এই ছবিতে ক্যাপের উচূ চূড়ার নীচ যে অন্ঞ্চল যেখানে বলটা পড়ে ঐ রাস্তা দিয়ে ঘুরবে সেটাকে হিগস ফিল্ডের সর্বনিম্ব এনার্জী স্টেট হিসেবে ধরে নিতে পারি।এখানে এই ক্ষেত্রটি দেখা যাচ্ছে যে স্বতঃস্ফূর্ত ভাবে বেছে নেয়া হচ্ছে বলেই এটাকে একটা নির্দিষ্ট বিন্দুতে স্বতঃস্ফূর্ত প্রতিসাম্যতা ভেঙ্গে যায়।
স্ট্যান্ডার্ড মডেলে এই হিগসের ধারনা ঠিক এজন্যই দেয়া হয়েছে সে যাতে কারে নির্দিষ্ট বিন্দুতে প্রতিসাম্যতা ভেঙ্গে পড়লেও সর্বত ভাবে এর প্রতিসাম্যতা ঠিক থাকে। ঠিক এ কারনেই হিগসের ব্যাপারটা আরো বেশী গুরুত্বপূর্ন।
হিগস এবং বিগ ব্যাং:
এই প্যারাটা আমার লেখার এখতিয়ারে ছিলো না, কিন্তু কারো কারো প্রশ্নের কারনে এটা আমি লিখছি।
বিগ ব্যাং এর মুহুর্তে এই মহাবিশ্ব ছিলো বিশুদ্ধ এনার্জীর পার্টিক্যালের সমন্বয়ে কিছু একটা মন্ড টাইপের।বিস্ফোরনের মিলিসেকেন্ডের মধ্যে আমাদের মহাবিশ্বটা ঠান্ডা হয়ে যায় এবং হিগস ক্ষেত্র গড়ে উঠে যেটা আমি আগের পোস্টে বলেছি ইকোয়েশন দিয়ে। মহাবিশ্ব ক্রমান্বয়ে ঠান্ডা হতে হতে কনিকা গুলো ধীর হতে থাকে, হিগস ক্ষেত্রের সংস্পর্শে এসে গতিশক্তি হারিয়ে ভরপ্রাপ্ত হয় আইনস্টাইনের E=mc^2 সূত্রানুসারে।
এভাবে এলিমেন্টারী পার্টিক্যাল গুলা উৎপন্ন হওয়া শুরু করলো এবং হিগস ক্ষেত্রটি স্পেস-টাইম অর্থাৎ স্হান-কালের মধ্যে দিয়ে ঢুকে গেলো।আমি একটু আগেই বলেছিলাম ইউনিফিকেশন থিওরী নিয়ে কাজ করছে বিজ্ঞানীরা। এর কারন হলো যদি আমরা এই গ্রাভিটিকেই অথবা একটা সুপার ফোর্সকেই টোটাল ইনিশিয়েটিভ ধরি তাহলে আমাদের সব কিছুর উৎস একেই দেখাতে হবে এবং বিগ ব্যাং যে এখান থেকেই হয়েছে সেটা বোঝাতে হবে।তাই থিওরেটিক্যালি নিম্ন এনার্জী স্টেটে চারটি মৌলিক বলের প্রত্যেকটিই হলো এই একটা সুপার ফোর্সের বাহ্যিক রূপ।
পার্টিক্যাল এক্সিলারেটর এই পরিবেশটাকে ধরে নিয়েই তাদের কাজ চালিয়ে যাচ্ছে।
হিগস বোসনের ভর কত হতে পারে?
১) স্ট্যান্ডার্ড মডেল অনুসারে এর ভর ১ টেরাইলেক্ট্রন ভোল্টের নীচে হবে।
২) ফার্মিল্যাব হালকা বোসনকে খুজছে ১১৫ থেকে ১৮০ গিগাইলেক্ট্রনভোল্টের মধ্যে।
৩) এলএইচসি খুজছে আরেকটু ভারীটা যেটার ভর ১৮০ এর উপরে।
৪) ফার্মিল্যাব এই হিগস বোসনের ভরের জন্য ১৬০ থেকে ১৭০ রেন্জ্ঞের মধ্যে অনেক ডাটা অলরেডী সংগ্রহ করেছে।
৫) আরো কিছু ডাটা দিয়ে ফার্মিল্যাব ঐ রেন্জ্ঞের মধ্যে পুরোটার ডাটা আর কিছু দিনের মধ্যে নিয়ে ফেলতে পারবে।
মজার কথা হলো অনেক নামী দামী পদার্থবিজ্ঞানী এমনকি হকিং ও মনে করে হিগসকে পাওয়া যাবে না।
যদি হিগস না পাওয়া যায় তাহলে পদার্থবিজ্ঞানীদের স্ট্যান্ডার্ড মডেলের উপর কিছু কাটা ছেড়া করতে হবে, হয়তোবা দেখা গেলো অনেক বেসিক কনসেপ্ট পাল্টে ফেলতে হলো। একটা চরম সত্য কথা হলো আমরা আজো নিউটন আর আইনস্টাইনের কনসেপ্টে আটকে আছি। এখনো নতুন রেভুল্যুশনারী ফিজিক্সের দেখা পাই নাই যদিনা এম থিওরী আবারও হোচট না খায়।
তবে হিগস কে পাবার পসিবিলিটি এখনো খুব বেশী।
আসেন আমরা এইখানে একটু হাসি!
আসুন আমরা এবার একটু ম্যাথমেটিক্যাল টার্মের দিকো এগোই!
ফাইন ম্যান রুলস এবং ফাইনম্যান ডায়াগ্রাম:
ফাইনম্যানের নাম পদার্থবিজ্ঞানের যেকোনো ছাত্রর কাছেই ঈশ্বর আর তার প্রেরিত রাসুলের নামের পরেই মনে রাখতে হয় অনেকটা। এটা এজন্য যে এখানে এসে সেটাই দেখলাম।
উনি কিছু ম্যাথমেটিক্যাল মডেল ডেভেলপ করেন যেটা দিয়ে পার্টিক্যাল কলিশনের ব্যাপারগুলো ব্যাখ্যা করা যায়।
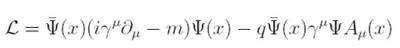
এই ইকোয়েশনের প্রথম দুটো অপারেটরে দেখানো হচ্ছে যে কিভাবে একটা m ভরের পার্টিক্যাল স্হান-কালের স্হানাংকে চলতে থাকে আর পরের অংশটি দেখাচ্ছে যে তড়িৎচৌম্বকীয় একটা পার্টিক্যাল কিভাবে মিথস্ক্রিয়ায় অংশ নেবে যার বলের পরিমান তড়ীৎ চার্জ q নির্ধারিত করা হয়।
উপরের এই ছবিটাতে এই ইকোয়েশনেরই একটা পিকটোরিক্যাল রিপ্রেজেন্টেশন যেখানে কলিশনের পর কিভাবে হচ্ছে সেটাই রৈখিক ভাবে দেখানো হচ্ছে!
চলবে..................
রেফারেন্স:
১) স্ট্যান্ডার্ড মডেল উইকি
২) সিডিএফ, ফার্মিল্যাব
৩) মাদ্রাজ কলেজ, ম্যাথমেটিক্স ডিপার্টম্যান্ট
৪) সার্ন-১
৫) সার্ন - ২
সর্বশেষ এডিট : ১০ ই জুলাই, ২০১৬ ভোর ৪:৪৩

অনুগ্রহ করে অপেক্ষা করুন। ছবি আটো ইন্সার্ট হবে।




