দ্বিতীয় পর্ব
বিজ্ঞান আর ধর্ম ব্যাপারটা আমার কাছে অনেকটা নিশ্চয়তা আর অনিশ্চয়তা টাইপ কিছু লাগে। ২+২ করলে ৪ হবে। বিজ্ঞানে শিখাবে এটা কিভাবে হলো আর ধর্ম শিখাবে এটা ঈশ্বরের নিয়ম তাই খানিকটা মুখস্হ করো!
ঘটনা কিন্তু একই। যদি ঈশ্বর থেকে থাকেন তাহলে উনি একটা নিয়ম বানিয়ে দিয়েছেন যে ২+২ সবসময় ৪ হবে। আমাদের এজন্য খুব একটা কষ্ট করতে হবেনা এটা আবিস্কারের জন্য। এখন কেউ যদি মনে করে, সে শিখবে কিভাবে হলো, শিখেও এটাই পাবে। ঈশ্বর যদি সবকিছু অনেকটা ওপেন সোর্সের মতো করে দিয়ে থাকেন তাহলে আমরা সবসময় একই জিনিস পাবো।
তবু সমস্যা হলো যদি আমরা এভাবে ঈশ্বরের অপেক্ষায় বসে থাকি তাহলে সভ্যতার অগ্রযাত্রা এক জায়গায় আটকে যেতো, আর যদি আমরা নিজে থেকে জানতে চাই তাহলে আমরা একই ভাবে ২+৩ যোগ করলে কত হবে সেটার আরও কয়েকটা রাস্তা বের করতে পারবে। রাস্তা এখন দুটো। ঈশ্বরকে বিশ্বাস করা অথবা না করা, ফলাফল কিন্তু একই।হিগসের সিগমা ক্যালকুলেশন খানিকটা এরকমই মনে হয় আমার কাছে, অদ্ভূৎ লাগে কি?
ফাইনম্যানের ধ্বংস আর সৃষ্টির নিয়ম আর ফাইনম্যান ডায়াগ্রাম:
ধরা যাক কোলাইডারে একটা কলিশন রেকর্ড করা হলো যেখানে একটা ইলেক্ট্রন আর একটা এন্টি ইলেক্ট্রন মুখোমুখি আঘাত করলো তখন আমরা এভাবে লিখতে পারি: e+ e- → μ+ μ-
এই মিথস্ক্রিয়াতে তড়িৎচৌম্বকীয় অথবা দুর্বল নিউক্লিয় বল কার্যকর এবং ফাইনম্যানের ম্যাথম্যাটিক্যাল মডেল দিয়ে এই প্রসেস বা কাজটার প্রস্হচ্ছেদের নানা অংশের প্রোবাবিলিটি নির্নয় করতে পারি খুব সহজে।সূত্রটি হলো:
N=Lσ
যেখানে N হলো কতগুলো ইভেন্ট সংঘটিত হলো আর L হলো এক্সিলারেটরের পার্টিক্যাল বীমের তীব্রতা এবং সংকীর্নতা আর σ হলো নির্নয়কৃত গুচ্ছ বীমগুলো প্রস্হচ্ছেদ।
তাত্বীকভাবে ফাইনম্যানের নিয়ম আর স্ট্যান্ডার্ড মডেল দিয়ে যতগুলো ভবিষ্যতদ্বানী তত্বীয় পার্টিক্যাল পদার্থবীদরা করেছেন তা এক্সিলারেটর কর্তৃক সম্পাদিত পরীক্ষামূহের ডাটার সাথে হুবহু মিলে যায়। এখানে বিজ্ঞানীরা শুধু দেখতে চান এই ডাটার সাথে কোনো প্রকার পার্থক্য খুজে পাওয়া যায় কিনা, এবং পাওয়া গেলেই তখন বলা হয় এটা "নতুন পদার্থবিজ্ঞান"।
এখনও পর্যন্ত স্ট্যান্ডার্ড মডেল খুবই নিখুতভাবে ভাবিষ্যতদ্বানী করে গেছে।
ম্যাডগ্রাফ বা ম্যাড ইভেন্ট:
পার্টিক্যাল এক্সিলারেটরে সংঘটিত সংঘর্ষ সমূহের সিম্যুলেশন পরীক্ষা করার জন্য ম্যাড গ্রাফ বা ম্যাড ইভেন্ট হলো একটা অত্যাধুনিক রিসার্চ সফটওয়ার যেটা মূলত কলিশন ডাটা সমূহকে স্ট্যান্ডার্ড মডেলের ভিত্তিতে বিভিন্ন পরীক্ষার প্রস্হচ্ছেদ নির্নয় করে এবং সে অনুযায়ী বিভিন্ন প্যারামিটারের সাপেক্ষে হিস্টোগ্রাম তৈরী করে।
উদাহরন হিসেবে একটা প্রসেস ধরে নিতে পারি: e+e-→mu+mu
যতটা যম্ভব এখানে ইভ্যারিয়েন্ট ভর, মোমেন্টাম এবং কৌনিক ডিস্ট্রিবিউশনের ফাইনম্যান ডায়াগ্রাম নির্নয় করা হয়।একটা ইভেন্টের নির্নিত প্রোবাবিলিট বা প্রস্হচ্ছেদকে পরে প্রদর্শন করা হয় যেখানে মূলত e+e-→mu+mu এর বহনকারী হিসেবে হয় Z বোসন পাওয়া যাবে অথবা ফোটনকে পাওয়া যাবে।
কৌনিক ডিস্ট্রিবিউশনে দেখা যায় যে যখন e এবং e- সংঘর্ষে লিপ্ত হয় মুখোমুখি, তখন বেশীরভাগ মিওন ঠিকরে ওঠে বীম লাইনের খুব অল্প কৌনিক দূরত্বে।
নীচের ম্যাডগ্রাফ আর মডেলগুলো থেকে ব্যাপারগুলো আরো পরিস্কার হবে:
হিগসের খোজে:
যদি হিগস সত্যি থেকে থাকে তাহলে তার উপস্হিতিটা হবে খুবই বিরল ঘটনা।একটা সাধারন হিসাবে দেখা যায় যে প্রতি কয়েক ট্রিলিয়ন সংঘর্ষের মধ্যে মাত্র একটা হিগস তৈরী হতে পারে।
N=L σ সূত্রটি ব্যাবহার করতে পারি এখানে আমরা যেখানে L হবে ২.৪ fb^-১ এবং গড়পড়তা σ এর মান .০৮২৮ fb যেখানে আমরা যে ঘটনার মান পাবো সেটার মান ১ এরও কম।
ব্যাকগ্রাউন্ড নয়েস টেভাট্রনের চেয়ে এলএইচসিতে খুব বেশী কারন এলএইচসিতে অনেক বেশী পরিমান বল আর গ্লুওন মিথষ্ক্রিয়া হবে।তবে এলএইচসি স্বভাবতই ভারী হিগসকে (M(H)>180 GeV) খুজে পাবার জন্য উপযোগী।ফার্মিল্যাবে হালকা হিগস ( MH=১৬৫-১৭৫ GeV)খুজে পাবার জন্য সবচেয়ে বেশী উপযোগী স্বভাবত এই ব্যাকগ্রাউন্ড নয়েসের কারনেই।
তবে এলএইচসির একটা এক্সপেরিমেন্ট করার জন্য যে পরিমান শক্তি প্রয়োগ করার ক্ষমতা আছে তা দিয়ে হিগসকে খুজে পাওয়ার কথা।
আর এই এক্সিলারেটরেই কেনো হিগস পাওয়া যাবে সেটা সাদামাটা ভাবে বলতে গেলে :
আমরা হয়তো সবাই জেনে থাকবো যে এক্সিলারেটরগুলোর কাজই হলো আলোর গতির কাছাকাছি কনিকাগুলোকে এনে মুখোমুখি সংঘর্ষে লিপ্ত করানো আর টেভাট্রন যেখানে প্রোটন আর এন্টি প্রোটনের সংঘর্ষ ঘটাতে পারে সেখানে এলএইচসি প্রোটনের প্রোটনের সংঘর্ষও ঘটাতে পারে। এই সংঘর্ষের ফলে দেখা যায় এই আদিম কনার সংঘর্ষ্বের কারনে বিগ ব্যাং বা মহাবিস্ফোরনের এক সেকেন্ডের কয়েক ভগ্নাংশের পরের সময় পর আসলে কি পরিবেশ তখন বিদ্যমান ছিলো সেটার প্রতিরূপ সৃষ্টি করা।
এই বিস্ফোরনের সময় অতিঠান্ডা (-২৭৩ এর কাছাকছি) ম্যাগনেট বা চৌম্বক ব্যাবহার করা হয় কনাগুলোর গতি এবং ত্বরানায়িত করার জন্য এবং এসব সংঘর্ষের কারনে কনাগুলো ধ্বংস হয়ে শক্তিতে রূপান্তরিত হয় এবং নতুন কনিকার সৃষ্টি করে আইনস্টাইনের E=mc^2 সূত্রানুসারে।
পার্টিক্যল ডিটেক্টর গুলো নতুন তৈরী হওয়া পার্টিক্যালগুলোর গতিবিধি এবং সংঘর্ষের পর এগুলো যায় কোথায় বা পরিনতি কি সেটা নির্নয় করে।
ম্যাকগ্রাফ হিগস মডেলিং:
এখন এই প্রসেসটা যদি আমরা ম্যাক গ্রাফ লাইন ডায়াগ্রামে বর্ননা করতে যাই তাহলে: pp>mu+mu- b সূত্রানুসারে সেখানে Z বোসন আর হিগসকে বাহক হিসেবে ধরে নিতে হবে।ফার্মিল্যাবের টেভাট্রনে সম্ভাব্য ফেনোমেনা হিসেবে হিগস প্রসেসকে এভাবে সনাক্ত করা যেতে পারে।
এর প্রধান উদ্দেশ্য হিসেবে বলা যেতে পারে হিগসের প্রসেসের মাধ্যমে হিগসের উপস্হিতির খোজ এভাবে করা হয় (এর সাক্ষ্য হিসেবে ম্যাডইভেন্টের প্রস্হচ্ছেদ এবং হিস্টোগ্রামের কথা বলতে পারি)।
এসব ফলাফলের কিছু অংশ টেভাট্রন আর বাকী অংশ এলএইচসি থেকে নেয়া হয়েছে।
পরীক্ষার সময় দেখা যায় যে হিগসে ভর যখন বাড়তে থাকবে তখন একটা হিগস সিগন্যাল পাওয়া যাবে যেটার দেখা পাওয়া দুঃসাধ্য।হিগসের সর্বোচ্চ মান পাওয়া যেতে পারে ১৬৫ থেকে ১৭৫GeV কিন্তু ২০০ GeV দেখা পাওয়া একটু কঠিন।
যদি হিগসের উদ্ভব সত্যি হয়ে থাকে তাহলে হিগস সিগন্যালের অধিকতর সমতল অথবা দুর্বল মানের হলেও ব্যাকগ্রাউন্ড নয়েসকে বাদ দেওয়াটা জরুরী হয়ে যাবে।
এলএইচসির ফলাফলে যেটা পাওয়া যায় শক্তিশালী বলের সাথে অধিকতর ব্যাকগ্রাউন্ড নয়েস হিসাবে গ্লুওন আর W আর আরও বলের মিথষ্ক্রিয়ার কারনে এটা খুবই দুঃসাধ্য হয়ে ওঠে!
কম মানের হিগস ভরের জন্য টেভাট্রনে Z হিগসের প্রসেসের মানগুলো আর বেশী পাওয়া যাবে গানিতিক হিসাবে।
হিগস প্রসেসের এই মান উদ্ঘাটনের পর যেগুলো মূলত দরকার সেগুলো হলো অন্যান্য হিগস প্রসেসের মধ্য দিয়ে W এর ক্ষয়িষ্ঞুতা আর গ্লুওন মিথস্ক্রিয়ার দিকে যেগুলো মূলত এক করে হিগস প্রসেসকে দেখা আর এখান থেকে হিগস সিগন্যালটাকে বের করে আনা। GeVফার্মিল্যাবে হিগসকে খুজে পাওয়া একটু কঠিন হলেও একটা সুযোগ আছে যার মাধ্যমে 'অধিকতর হালকা' হিগস (110-180 GeV ) স্ট্যান্ডার্ড মডেল কর্তৃক নির্ধারিত রেন্জ্ঞে পাওয়াটা অসম্ভব কিছু মনে হবে না।
এখন অবশ্য রেন্জ্ঞটা আরো ছোট হয়ে এসেছে যেটা ১৬০-১৭০ GeV এর মধ্যে হয়ে এসেছে।
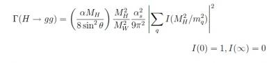
এখন আমরা একটু গানিতিক দিকে আর হিগসের ক্ষয়ের দিকে চোখ বুলাই:
সিগমা ক্যালকুলেশন:
প্রথমে আসি হিগস কাদের কাদের সাথে কাপলিং করে। কাপলিং বলতে বোঝানো হচ্ছে যে কোন কোন পার্টিক্যাল হিগস ক্ষেত্রের সংশ্পর্শে এসে ভর প্রাপ্ত হয় এ ব্যাপারটাই! ফার্মিওন আর ভেক্টর বোসন কনাগুলোর সাথে হিগস ক্ষেত্রের সর্বদা কাপলিং হয় যেটা আমরা ভেক্টর ডায়াগ্রামে নীচের মতো দেখাতে পারি!
তাহলে সে অনুসারে ফোটন আর গ্লুওনের সাথে হিগস ক্ষেত্রের কাপলিংটা হবে অনেকটা নীচের মতোই!
কাপলিং ভরপ্রাপ্তির সমানুপাতিক।তাহলে এখান থেকে আমরা একটা ইকোয়েশন দাড় করাতে পারি সেটা হলো
একটু ডিটেইলে ব্যাখ্যা করা যাক এই ব্যাপারটা!
এখন এখানে একটা প্রায়শই সামনে এসে দাড়ায় যেটা হলো ইলেক্ট্রন-এন্টি ইলেক্ট্রন সংঘর্ষের মাধ্যমে আমরা সত্যি হিগসের দেখা পাবো?
আসলে এই সংঘর্ষের মাধ্যমে যেই কোলাইডারে সংঘর্ষ ঘটানো হবে সেখানে হিগসের ভর ধরতে পারবো আর এখন পর্যন্ত বেশ ভালো ভাবেই একটা কোলাইডারে ২০৯ গিগাইলেক্ট্রনভোল্ট ডিটেক্ট করা যায়।আমরা জানি যে হিগস-ইলেক্ট্রন মিথষ্ক্রিয়া অথবা কাপলিং ইলেক্ট্রনের ভরের সমানুপাতিক যার পরিমান দুর্বল তড়িৎবলের ২৪৬ গিগাইলেক্ট্রনভোল্টের চেয়ে একটু কম এবং কাপলিং শাক্তির মান ১.৫*১০^-৬। কিন্তু আগেই এটা বলেছি কেন এরকম একটা ঘটনার মুখোমুখি হতে আমাদের ৪ বছরের মতো অপেক্ষা করতে হবে।
তাহলে আমাদের এখানে ভাবা দরকার এমন একটা প্রসেসের কথা যার মাধ্যমে এরকম একটা খুব ভারী এবং বিস্তৃত হিগস কাপলিং এর মিথষ্ক্রিয়ার হার দেখা যেতে পারে খুব বেশী পরিমানে যেটাকে আমরা খুব সহজ পন্হায় ডিটেক্ট করতে পারি।
এর জন্য বেশ কিছু সম্ভাবনা নিয়ে আমরা কাজ করতে পারি:
১) গ্লুওন গ্লুওন ফিউশন
২) ভেক্টর বোসন ফিউশন
৩) গজ বোসনের সহজাত হিসাবে তৈরী
৪) টপ কোয়ার্ক-এন্টি কোয়ার্ক জোড়ের সহজাত তৈরী
এদের ফাইনম্যান ডায়াগ্রাম নীচে সিরিয়ালী দেয়া হলো!
এখান উপরোক্ত গ্রাফ দেখে বোঝা যাচ্ছে MH এর মান গননা করা যেটা করা যায় ফাইনম্যান ডায়াগ্রাম অনুসরন করেই।
e+e-→ w+w- H প্রসেসে দেখা যায় দুটো w এর প্রয়োজন যার শক্তির পরিমান Z তৈরী করার চাইতে বেশী হতে হবে। তাহলে সেই মতে যদি ইকোয়েশনটা e+e-→ ZH তাহলে MH আরো পরিলক্ষনীয় হয় এবং ফাইনম্যানের এই প্রসেসটায় ইলেক্ট্রন পজিট্রন সংঘর্ষে এই ভার্চুয়াল Z সৃষ্টি হয় যেখানে হিগস বোসনকে দুভাগ করে ফেলে বেশী ভর প্রাপ্ত হয়ে। এই ঘটনাটিকে হিগসস্ট্রলাং বলা হয় যেটাকে আবার ব্রেমস্ট্রলাং প্রসেস হিসাবেও বলা হয়।এখানে হিগস এবং Z সাথে সাথ এসিম্পটটিক্যালি (এটার বাংলা এখনও খুজে পাইনি তবে কোনো একটা কার্ভেচারর পাশ দিয়ে একটা লাইন এমন ভাবে পরিভ্রমন করে যেটা অসীমতটে এর সাথে মিলিত হবে: ডিটেল উইকি ) ক্ষয় হয়ে স্ট্যান্ডার্ড মডেলের পার্টিক্যালের রূপ নেবে।যখন Z এর ক্ষয় ফার্মিওনের গজ কাপলিং এর রুপ নিতে থাকে তখন হিগসের জন্য এটা সবচেয়ে বেশী ভর প্রাপ্তির সুযোগ ঘটে যায়। এক কথায় Z ক্ষয়ের পরিমান জেটের ৭০% হয় আর ২০% অদৃশ্য কনা হিসাবে যেটাকে নিউট্রিনো হিসাবে ধরা হয় আর পার্টিক্যাল ডিটেক্টরে ডিটেক্ট করাও যায় না (কেন যায় না সেটা পরে ব্যাখ্যা করবো) আর বাকি ১০% লেপটন যেটাকে ডিটেক্টরে সবচেয়ে ভালো ভাবে ডিটেক্ট করা যায়।
হিগসের ক্ষয় জানতে হলে আমাদের বুঝতে হবে আসলেই হিগসের BR কি? BR হলো হিগসের ব্রান্ঞ্চিং রেশিও। এই হিসাবটা বের করা জন্য আগে হিগসের আংশিক প্রস্হ কিভাবে নির্নয় করে যার সংজ্ঞা হিসাবে আমরা বলতে পারি সর্বেশেষ রুপে যাবার জন্য বিপরীত ক্ষয়িষ্ঞুতার হার(Inverse Decay rates)।
হিসাবটা বুঝতে আমরা সবচেয়ে স হজ কাপলিংটা দিয়ে শুরু করি হিগসের ফার্মিওনে ক্ষয় হবার ঘটনাটা যেটা মূলত একটা ম্যাট্রক্স কাঠামো। নীচের কাঠামোটা দেখলেই বোঝা যায় ব্যাপারটা।
এখানে ক্যালকুলেশনের সুবিধার্থে mq(MH) ব্যাব হার করা হয় কারন কোয়ার্কের ভর হিগসের ভরের স্কেলে সমন্বয় করা যায় কোয়ার্কের পোল ভরের চাইতে। এই পুরো ক্যালুলেশন hdecay এ করা যায়, যার চিত্রটি নীচে দেয়া হলো।
একটু লক্ষ্য করলে দেখতে পাবো MH এর মান যখন ১৯০ GeV তখন এর পুরো প্রস্হতার বাড়ার হার ১GeV।
আমরা এই গ্রাফ থেকে সকল রকম আংশিক প্রস্হের মান বের করে নিতে পারি যেগুলোর সবগুলোর যোগফল হিসাবে আমরা হিগসের পুরো ক্ষয়ের প্রস্হচ্ছেদ পেতে পারি ।এখানে স্ট্যান্ডার্ড মডেলের ব্রান্ঞ্চিং রেশিওকে MH এর ফাংশন হিসাবে ধরা হয়েছে। হিগসের সর্বশেষ রূপে ক্ষয় হবার ব্যাপারটাকে দেখানো হয়েছে। ফার্মিওনিক ব্রান্ঞ্চিং রেশিও ফার্মিওন ভরের বর্গের আর রংএর ফ্যাক্টর আর রেডিওএক্টিভ কারেকশনের সমানুপাতিক আর প্রতিটা BR পেতে পারি Γi/Γtot অনুপাত থেকে যেটা দিয়ে নীচের গ্রাফটা পাওয়া যায়।
থ্রেশোল্ড পয়েন্টের কাছাকাছি BR থেকে WW হার ৫০% যখন MH এর মান ১৪০GeV।
উপরের আলোচনা থেকে আমরা কিছুটা হলেও ধারনা পেতে পারি যে হিগসের ক্ষয় আর এর উৎপন্ন হবার সম্ভাব্য প্রক্রিয়া এখন আমরা একটু নজর দিবো এর হিসাব বা পরিসংখ্যান গত দিকটির উপর।
প্রথমেই বলে নেই প্রতিটা কলিশনের মাধ্যমে উৎপন্ন হওয়া পার্টিক্যালের শক্তির মান নিখুতভাবে নির্নয় করা সম্ভব কিন্তু এর জন্য আমাদেরকে নির্ভর করতে হয় পার্টিক্যাল ডিটেক্টরের উপর। তত্বগত ভাবে নিখুতদিকটা এসব ডিটেক্টরের থাকে না কারন এখানে যেসব ক্যালরিমিটারগুলো ব্যাব হার করা হয় সেগুলো আসলে একেকটা স্যাম্পলিং যন্ত্র যার অর্থ হলো এগুলো সব শক্তি ধরতে পারে না, এগুলো যেটা করে সেগুলো মূলত একটা বড় পরিংখ্যানের নিখুতভাবে নির্নিত কেন্দ্রিক মানের ক্যালিব্রেশন করা থাকে যেখানে গশিয়ান অনিশ্চয়তার সূত্র ব্যাব হার করে প্রত্যেকটা ইভেন্টের গড় মানের জন্য।অতিরিক্ত এনার্জীর দেখা মিলতে পারে নানা কারনে যেমন কসমিক রশ্মি, বীম-গ্যাস অথবা বীম সেকন্ডারী মিথষ্ক্রিয়া ব্লা ব্লা। কোয়ার্কের সর্বশেষ দশাকে হ্যড্রনাইজ করে তার জেটকে ডিটেক্টরে ডিটেক্ট করা খুবই কঠিন এবং জটিল একটা প্রক্রিয়া যেখান থেকে আমরা নিখুত মানও পেতে পারি না।ইলেক্ট্রনিক্স যন্ত্রাংশের নিজস্ব সীমাবদ্ধতাতো আছেই সাথে যুক্ত সফটওয়্যার বাগস বা এলগরিদম ইনএফিসিয়েন্সি যার ফলাফল ভুলভাল ডাটা।যার ফলে একটা দুটো ইভেন্ট দিয়ে আমরা বলতে পারি না যে এই হলো হিগস এবং এর ভর হলো ১২৮.৯৮৪৯৫ GeV (এই মানটা আন্দাজে)। এর জন্যই আমরা যেটা পাই সেটা হলো অনেকগুলো ভরের ডিস্ট্রিবিউশন যেখানে থেকে আমরা বের করি এর কেন্দ্রিক মান এবং এর সাথে সংশ্লিষ্ট অনিশ্চয়তা।
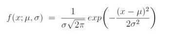
যেকোনো ইভেন্টের জন্য এর গননা হয় অনেকটা কোয়ান্টাম ডাইসের মতোই এবং যেকোনো উপর্যুপরী সংখ্যক ইভেন্টের গশিয়ান ডিস্ট্রিবিউশনের পরম গড় মান (true mean value) হলো
এখানে পরিসংখ্যান গত অনিশ্চয়তার হার হলো ১/N, যেখানে N এর মান হলো ইভেন্টের সংখ্যা। একে বলা হয় ১ সিগমার অনিশ্য়তা: ৬৮.২% মিলে যাওয়া N পরিমান এক্সপেরিমেন্টাল ইভেন্ট এর সিগমার মান হবে ±√N যেখানে μ = Ntrue হলো পরম প্রস্হচ্ছেদ।নীচের চিত্রটি সিগমার প্রবাবিলিট দেখানো হয়েছে। যেকোনো আবিষ্কারের নিশ্চয়তা নির্ধারনের জন্য 5σ এর নিশ্চয়তা ধরা হয় যার মানে হলো এখানে পরিসংখ্যানগত তারতম্য হবার সম্ভাবনা .০০০০৬%।
ছবিতে µ এর গড় মানের গশিয়ান ডিস্ট্রিবিউশন দেখানো হয়েছে যেখানে একটি ইভেন্টের ফাংশনাল প্রোবাবিলিটির স্ট্যান্ডার্ড ডেভিয়েশনের গড় দেখানো হয়েছে ১, ২, ৩ বার।
এখানে এক্সপেরিমেন্টে BR এর মান নির্ধারনের পর সকল ইভেন্টের মান নিরূপন করে তারপর দুটো আলাদা গশিয়ান ডিস্ট্রিবিউশন নিয়ে কাজ শুরু হয় : এখানে কতগুলো সিগন্যাল উৎপন্ন হয়েছে আর কতগুলো প্যারামিটার ডিটেক্টর গননা করতে পেরেছে। কিন্তু যখন ক্যালকুলেশন শুরু করা হয় তখন আমরা আমাদের কাঙ্খিত সিগনালের মান আর তার ব্যাকগ্রাউন্ড হিসাব করা হয় যার ইকোয়েশন হলো S/(S+B) নীচের টেবিলের হিসাবটা দেখলেই ব্যাপরটা আরো ক্লিয়ার হবে আশা করি।
উপরের চিত্রটি আলেফ ডিটেক্টরের লার্জ ইলেক্ট্রন পজিট্রন (LEPII)এর সর্বশেষ এনার্জী লিমিটে সংঘটিত একটা ইভেন্ট ডিসপ্লে যেখানে Z → jj, H → b¯b এর ব্যাপারটা দেখানো হয়েছে। অনুশীলনের জন্য এই টেবিলটা সবার সহায়ক হতে পারে!
আর এখানেই হিগসের লেখাটা আমি শেষ করলাম। যদিও নেক্সট একটা টপিক হবে যেখানে মূলত লেখা থাকবে হিগস যদি খুজে না পাওয়া যায় তাহলে আমরা কোন থিওরী নিয়ে কাজ করবো ভরের উত্তর পাবার জন্য। আরেকটা টপিক লেখার ইচ্ছে ছিলো সেটা হিগসকে খুজে পেলে টাইম মেশিনের যে কজালিটি প্রবলেম সেটাকে কিভাবে সমাধান করে সেটার উপর যদি কোয়ান্টাম এনটেঙ্গলমেন্ট দিয়ে পোস্ট সিটিসির প্রক্রিয়াটা এটা অনেক আগেই সমাধান করেছে তবু হয়তো কোনোদিন এটা নিয়ে লেখবো হাতে সময় পেলে!
অনেক কথাই এখানে বলা হয়নি, হতে পারি এখানে আমার নিজের বুঝার ভুল থাকতে পারে, কারন আমি ফিজিক্সের ছাত্র নই, পার্টিক্যাল ফিজিক্সের থিওরী আমার কোর সাবজেক্ট না। তাই ভুল ত্রুটি কেও যদি ধরিয়ে দেন তাহলে খুশী হবো। এছাড়া ইংলিশ টার্মের বাংলা লেখা যে কি কষ্টের সেটা কেমনে বুঝাই!
সূত্র:
১) হিগস হান্টার গাইড
২) কর্নেল ইউনি
৩) সিডিএফ আর্টিক্যালের ভান্ড!
৪) এটলাস
৫) বাকীটা আমার মাথা আর গুগলা চাচা!
সর্বশেষ এডিট : ১০ ই জুলাই, ২০১৬ ভোর ৪:৪৩

অনুগ্রহ করে অপেক্ষা করুন। ছবি আটো ইন্সার্ট হবে।




