"আগামীকাল প্রত্যুষেই যাত্রা শুরু করবেন আপনারা," অ্যাক্রোপলিসের অভ্যন্তরে নৈশকালীন অধিবেশনটিতে শান্তভাবে তার নির্দেশ ঘোষণা করল পেরিক্লিস। "ক্ষীপ্রগতির পাঁচটি ত্রিসারদাঁড়ি রণতরী সুসজ্জিত হয়ে অপেক্ষা করছে পাইরিয়াস বন্দরে। কেয়া ও কিথনোস দ্বীপের মধ্যবর্তী জলপথ ধরে এগুবেন আপনারা, সিরোস দ্বীপের উপকূল ঘেঁষে অর্ধবৃত্তাকার বাঁক নিয়ে সোজা পৌঁছবেন ডিলোসে। ঘন্টায় আশি স্টেডিয়া হিসেবে আজ রাতের মধ্যেই আপনারা পৌঁছে যাবেন সেখানে। যাজিনীদের শাস্ত্রীয় আচারাদি সাবধানতার সাথে সম্পন্ন করে, মন্দিরের বেদীতে বহুমূল্য উপঢৌকন অর্পণ করে, বিনম্র প্রশ্ন রাখবেন, ভয়ঙ্কর এ মহামারী থেকে পরিত্রাণ পেতে এথেন্সের প্রায়শ্চিত্ত কী।"
বয়স্য মানুষ তিনজনের দিকে তাকায় পেরিক্লিস, ডিলোস দ্বীপে এরাই গ্রহণ করবেন অ্যাপোলোর দৈববাণী। ধীরে ধীরে পেরিক্লিস পুনর্ব্যক্ত করে তার কৌশল, "আপনারা থাকবেন মাঝখানের অর্ণবপোতে; অবশিষ্ট পোত চতুষ্টয় চারদিক থেকে বেষ্টন করে এগিয়ে নিয়ে যাবে আপনাদের। প্রত্যেক যানে থাকবে পনের জন আয়োনীয় পদাতিক যোদ্ধা এবং চার জন শক তীরন্দাজ, যদিও কিকলাডিস দ্বীপপুঞ্জের আশেপাশে ডোরীয় আক্রমণের আশঙ্কা করছি না আমি, কারণ ল্যাকোনিয়ার উপকূল বরাবর গভীর সমুদ্রে চলাচল করছে আয়োনীয় নৌবহর। সামনের রণতরীতে আপনাদের সমগ্র বহরের নেতৃত্বে থাকবে অ্যালসেবাইয়েডিজ।"
বৃদ্ধ থিওফাস, বয়োজ্যেষ্ঠ দলটির নেতা, কথা বলেন এবার, "বয়স হয়েছে আমার, হে পেরিক্লিস, আয়োনীয়দের মহান নেতা, ওপারের ডাক শুনতে পাই আজকাল। তবু মনে সাধ জাগে বড়, স্টিক্স নদীর খেয়া পার হয়ে, লিথি নদীর জল পান করে জীবনের সব স্মৃতি ভুলে যাওয়ার পূর্বে, শেষবারের মতো আবার উঠুক ঢাল-তলোয়ার হাতে আমার, আরেকবার আমি মুখোমুখি হই ডোরীয়দের। হয়তো প্রথম আঘাতেই ভূলুণ্ঠিত হবে জরাক্লিষ্ট বার্ধক্যদেহ আমার, কোনো হোমার হয়তো গাইবে না প্রশংসাগাঁথা আমাকে নিয়ে, তবু অ্যাটিকার প্রান্তরে সম্মুখসমরেই অবসান হোক জীবন আমার।"
খানিকক্ষণ মৌনতা অবলম্বন করে পেরিক্লিস, স্পষ্টতঃই বুঝতে পারে বৃদ্ধের মনোভাব। পেলোপনিসের যুদ্ধটি শুরু হওয়ার সঙ্গেসঙ্গেই অ্যাটিকার গ্রামাঞ্চলগুলিকে স্পার্টার কবলে ছেড়ে দেয় এথেন্স, নিজেকে গুটিয়ে নেয় তার পূর্ব ও পশ্চিমের দেয়ালগুলির অভ্যন্তরে, গড়ে তোলে তীব্র প্রতিরোধ; আর পাইরিয়াস বন্দর থেকে রণতরীর সাহায্যে ঈজিয়ান সাগরের বাণিজ্যপথগুলি নিয়ন্ত্রণে রাখে নিজের। স্থলযুদ্ধে ডোরীয়দের এড়ানো, কিন্তু নৌযুদ্ধে তাদের উপর ঝাঁপিয়ে পড়া—পেরিক্লিসের এ রণকৌশল এখন পর্যন্ত সফলই বলা চলে, তবু স্থলভাগে স্পার্টার মুখোমুখি না হওয়াটা অনেক এথেনীয়ের চোখে সৃষ্টি করে শ্লেষের। আর এখন, ভয়ঙ্কর এ প্লেগ, যা লাশের পর লাশ ফেলছে এথেন্সের পথেঘাটে, তার জন্য পেরিক্লিসকেই দায়ী করে তারা।
"আপনার শৌর্যবীর্য যুগযুগ ধরে স্মরণ করবে আয়োনীয়গণ, হে শ্রদ্ধেয় থিওফাস, প্রেরণা জোগাবে তা প্রজন্ম থেকে প্রজন্মান্তরে," দৃঢ়ভাবে বলে উঠে পেরিক্লিস। "পারস্যের বিরুদ্ধে ম্যারাথনের যুদ্ধে আপনারা বীরত্বগাঁথা আজও একইভাবে উজ্জ্বীবিত করে আমাদের তরুণদের, শেষ রক্তবিন্দু দিয়েও রক্ষা করে যাবে তারা মাতৃভূমির দেয়াল। কিন্তু স্থলভাগের যুদ্ধে স্পার্টার মুখোমুখি হবার সময় হয়নি এখনও। এথেন্সের দেয়ালের বাইরে নিষ্ফল আক্রোশে ফুঁসবে স্পার্টা, আর ল্যাকোনিয়া, কোরিন্থ ও আর্গোসের বন্দরগুলিতে নৌআক্রমণের মাধ্যমে ডোরীয় ও তাদের মিত্রদের জীবন বিষিয়ে তুলব আমরা। এভাবেই শত্রুদের বিরুদ্ধে জয় হব আমরা, শ্রদ্ধেয় থিওক্লিস। কিন্তু জিউসপুত্রের পাঠানো এ প্লেগের হাত থেকে পরিত্রাণ দরকার সর্বাগ্রে। যেকোনো সময়ই আমরা ঝাঁপিয়ে পড়তে পারি ডোরীয়দের উপর, কিন্তু হেলিওসের ক্রোধ দূর করা প্রয়োজন সর্বাগ্রে। "
"তবে তা-ই হোক, হে আয়োনীয়দের মহান নেতা।" থিওফাস সন্তুষ্ট হয় পেরিক্লিসের বক্তব্যে।
"আমরা কেন ডেলফাই-এর মন্দিরে না গিয়ে ডিলোসে যাচ্ছি, মামা?" এবার প্রশ্ন করে অ্যালসেবায়েডিজ। "স্থলপথে ডেলফাই তুলনামূলকভাবে কাছে। এছাড়া সমুদ্রে ঝড় উঠতে পারে যেকোনো সময়, আমাদের সব জাহাজ হারিয়ে যেতে পারে একসঙ্গে। তখন তো ফিরে গিয়ে আপনাকে খবরটি পৌঁছানোরও কেউ থাকবে না।"
মৃদু হাসে পেরিক্লিস, যুদ্ধের প্রতি ভাগ্নের ঝোঁকটি অপ্রত্যাশিত নয়। পেলোপনিসিয়া যুদ্ধের শুরুতেই স্পার্টার ছোট একটি দলের মধ্যে পড়ে গিয়েছিল অ্যালসেবায়েডিজ, সক্রেটিস না থাকলে সেদিনই নিহত হতো সে। তারপর থেকেই দুয়েকটি ডোরীয় হত্যা করে নিজের বীরত্ব প্রমাণ করার জন্য উন্মুখ হয়ে আছে সে।
"তিনটি কারণে তোমাদের ডিলোসে পাঠানোর সিদ্ধান্ত নিয়েছি আমি," পেরিক্লিস ব্যাখ্যা করে। " প্রথমতঃ, আজ রাতেই ঘটবে উত্তরায়ণ, ঈজিয়ানের বুকে আগমন ঘটবে গ্রীষ্মকালের। আর এসময়, প্রতি গ্রীষ্মে, লিশিয়া থেকে বারবার ফিরে আসে অ্যাপোলো তার জন্মভূমি ডিলোসে। জিউসপত্নী হেরার ভয়ে অন্তঃসত্ত্বা লেটো যখন ছুটে বেড়াচ্ছিল ভূমি থেকে ভূমিতে, আর্টেমিস-অ্যাপোলোকে ভূমিষ্ঠ করার জন্য এক টুকরো মাটির খোঁজে, কোনো টেরা ফার্মা কিংবা কোনো দ্বীপ জায়গা দেয়নি লেটোকে। কেবল ক্ষুদ্র এই ডিলোস দ্বীপ, যা ভেসে বেড়াচ্ছিল ঈজিয়ানের বুকে, গ্রহণ করে আর্টেমিস-অ্যাপোলো যমজ ভাইবোনকে। তাই আশা করছি, ডিলোসে বিচরণকালে হৃদয় নরম থাকবে লেটোপুত্রের।
দ্বিতীয়তঃ, এথেন্সের বাইরে অ্যাটিকা, থিবিস, বিওশিয়া থেকে ডেলফাই পর্যন্ত পুরো এলাকা ঘিরে রেখেছে ডোরীয় হাপলাইট যোদ্ধা ও তীরন্দাজগণ। তাদের ভেতর দিয়ে স্থলপথে ডেলফাই পৌঁছার চেষ্টা করা আত্মহত্যারই শামিল। সমুদ্রপথেও এ মুহূর্তে ডেলফাই পৌঁছা অসম্ভব, কারণ তার জন্য পুরো পেলোপনিস ভূখণ্ড ৩৬০ ডিগ্রি ঘুরে ক্যালিডোন উপসাগর দিয়ে ঢুকতে হবে, আর তাতে সময় লাগবে ডিলোসের বহুগুণ বেশি। এছাড়া নিশ্চিতভাবেই ডেলফাই তীরে সমুদ্র খাঁড়ির মুখে পাহারা বসিয়েছে ডোরীয়রা।
তৃতীয় কারণটি হচ্ছে, অ্যাপোলোর সকল দৈববাণীর মধ্যে ডিলোসের বাণী সবচেয়ে সরল ও সহজবোধ্য। ডেলফাই বা অন্য কোথাও গিয়ে দুর্বোধ্য বাণীর মর্মোদ্ধার করার সময় নেই এখন আমাদের।"
একটু থেমে সভার দিকে তাকিয়ে বলে পেরিক্লিস, "এক পক্ষকাল পর্যন্ত আপনাদের জন্য অপেক্ষা করব আমরা। এ সময়ে কোনো সংবাদ না পেলে ধরে নেব অশুভ কিছু ঘটেছে আপনাদের, দ্বিতীয় দল পাঠাব তখন। আজ রাতে তবে বিশ্রাম নিন।" সভার সমাপ্তি ঘোষণা করে পেরিক্লিস।
পরদিন সকালে এথেন্স ত্যাগ করে দলটি, ফিরে আসে এক সপ্তাহ পর। খুব সরল শর্ত দিয়েছে অ্যাপোলো:
"এড়াতে চাও যদি তোমরা
প্লেগের স্পর্শে হিমশীতল সমাধি,
দ্বিগুণ করো মোর মন্দিরের বেদী।"
অ্যাপোলো মন্দিরের ঘনক আকৃতির বেদী, দৈর্ঘ্য, প্রস্থ ও উচ্চতা তার দ্বিগুণ করা হলো দ্রুত। তারপর অপেক্ষা করতে লাগল এথেন্সবাসী, কখন থেমে যাবে মহামারীর ভয়াল থাবা। কিন্তু না, উপশম হলো না প্লেগের, বরং ছড়িয়ে পড়ল তা আরো দ্রুতগতিতে। আবার সভা ডাকল পেরিক্লিস, দৈববাণীর মর্মার্থ উদ্ধার করতে নিশ্চয়ই ভুল হয়েছে কোথাও। হ্যাঁ, সরল শর্তটি পালন করতে পারেনি তারা, বেদী আসলে দ্বিগুণ না হয়ে আটগুণ হয়ে গেছে। দুই চাঁদ পর ডিলোসে পাঠানো হলো নতুন দূত দল।
রুষ্টঃস্বরে অ্যাপোলোর দৈববাণী এবার,
"আমার সাথে লুকোচুরি নিস্ফল, হে এথেন্সবাসী!
স্পষ্ট করে শোনো শেষবার:
নতুন বেদী করবে নির্মাণ,
আকারে ঘনক পূর্বের ন্যায়,
আয়তনে তার দ্বিগুণ পরিমাণ।"
দুরুদুরু বুকে ফিরে আসে দৈববাণী সংগ্রাহকগণ, পেরিক্লিস আহ্বান করে এথেন্সের গণিতবিদদের। কিন্তু গত ষাট বছর ধরে প্রথমে পারস্য আর এখন ডোরীয়দের সাথে যুদ্ধবিগ্রহে লিপ্ত এথেন্সে থেলিজ পিথাগোরাসের জ্যামিতিক স্বর্ণযুগ আর নেই। তবু তারা আশা করেছিল, পিথাগোরাসের সমকোণী ত্রিভুজে অন্ততঃ পাওয়া যাবে সমস্যাটির সমাধান। কিন্তু দিন মাস পেরিয়ে চলে গেল বছরের পর বছর, সমাধান হলো না ঘনকের দ্বিগুণকরণসংক্রান্ত এই ডিলীয় সমস্যা। প্লেগে ধ্বংস হয়ে গেল এথেন্সের এক-তৃতীয়াংশ অধিবাসী।
__________________
ডিলীয়দের ঘনকের দ্বিগুণকরণ (Doubling the Cube) সমস্যার পৌরাণিক উপাখ্যান শেষ করে উঠতেই সারাকা বললো, "কিন্তু বাবা, এথেন্সবাসীগণ প্রথম চত্বরের দ্বিগুণ আয়তনের চত্বর নির্মাণ করতে পারল না কেন?"
"ডিলীয় গাণিতিক সমস্যাটি ছিল বিশুদ্ধ জ্যামিতিক নিয়মে একটি ঘনকের দ্বিগুণ আয়তনের ঘনক নির্মাণ করা। সেটি বুঝার আগে এ ধরণের জ্যামিতিক বিনির্মাণ নিয়ে কিছু কথা বলা যাক। ধরো, তোমার কাছে ১ সেন্টিমিটার দৈর্ঘ্যের একটি রেখাংশ আছে, এর সাহায্যে ৭ সেন্টিমিটার দৈর্ঘ্যের একটি রেখাংশ কীভাবে তৈরি করবে?" প্রশ্ন করি আমি।
"এ তো খুব সহজ, বাবা! রেখাংশটিকে পরপর সাতবার শুইয়ে তাদের প্রথম ও শেষবিন্দুদুটি চিহ্নিত করে ফেলব, তাদের মধ্যে দাগ টেনে দিব, যার দৈর্ঘ্য হবে ৭ সেন্টিমিটার।"
"হ্যাঁ, ঠিক বলেছ। তার মানে তোমার কাছে ১ একক দৈর্ঘ্যের রেখাংশ থাকলে তার সাহায্যে তুমি n দৈর্ঘ্যের একটি রেখাংশ নির্মাণ করতে পারবে, যেখানে n একটি পূর্ণসংখ্যা। এবার বলো তো, মামণি, ১ সেন্টিমিটার দৈর্ঘ্যের রেখাংশের সাহায্যে কীভাবে ০.৮ সেন্টিমিটার দৈর্ঘ্যের রেখাংশ আঁকবে তুমি?" আমি দ্বিতীয় প্রশ্ন করি।
বেশ খানিকক্ষণ ভাবে সারাকা। তারপর বলে, "০.৮ সেন্টিমিটার মানে ৮ মিলিমিটার। সেন্টিমিটারের ফিতায় প্রতি সেন্টিমিটারে ১০টি করে দাগ কাটা থাকে, এক দাগে এক মিলিমিটার। সেখান থেকে ৮টি দাগ নিয়ে ০.৮ সেন্টিমিটারের রেখাংশটি আঁকা যাবে, বাবা।"
"কিন্তু তাতে তো ১ সেন্টিমিটারের রেখাংশটি ঠিক ব্যবহার করা হলো না, মা। এছাড়া সময়মতো মাপার ফিতা পাওয়া যাবে এমন নিশ্চয়তা নেই। আবার সেন্টিমিটার না হয়ে সমস্যাটিতে ইঞ্চি, হাত, বিঘতের কথাও বলা থাকতে পারে। সুতরাং দাগকাটা কোনো বস্তুর সাহায্য নেয়া যাবে না। বিশুদ্ধ জ্যামিতিতে বলতে গেলে, দাগহীন মাপকাঠি (Straightedge) এবং বৃত্তাঙ্কনশলাকা (Compass) কেবল ব্যবহার করতে পারব আমরা।"
একথা শুনে খাতায় বেশ খানিকক্ষণ আঁকাআঁকি করে সারাকা। হাল ছাড়তে হয় একসময়, বলে, "পারছি না, বাবা।"
"মন খারাপ করো না।" মেয়ের মাথায় আলতো হাত ছুঁইয়ে সান্ত্বনা দেই আমি। তারপর কলম নিয়ে খাতায় আঁকতে আঁকতে বলি,
"০.৮ সংখ্যাটি দশমিকে আবদ্ধ অন্যসব সংখ্যার মতোই একটি মূলদ সংখ্যা, তার মানে একে দুটি পূর্ণসংখ্যার অনুপাতে প্রকাশ করা যাবে। আর ত খুব সহজ: ০.৮ = ৮/১০ = ৪/৫। সুতরাং ৪/৫কে আঁকতে পারলেই আমাদের কাজ হয়ে যাবে।"
১ দৈর্ঘ্যের রেখাংশটির সাহায্যে কাগজে আমি প্রথমে ৫ দৈর্ঘ্যের রেখাংশ AB টানি। তারপর A বিন্দুতে আড়াআড়িভাবে ৪ দৈর্ঘ্যের AC রেখাংশটি টানি; এটি যেকোনো কোণে আড় হতে পারে, সমস্যা নেই। C, B যোগ করি। CA থেকে শেষ ১ দৈর্ঘ্যের রেখাংশটির সূচনাবিন্দুটি D হিসেবে চিহ্নিত করি, অর্থাৎ CD = ১। তারপর D থেকে AB-এর সমান্তরাল করে DE রেখাংশ টানি যা CB-কে E বিন্দুতে ছেদ করে। অনুরূপ কোণ সমান করে সমান্তরাল রেখাংশটি টানতে এখানে বৃত্তাঙ্কন শলাকার সাহায্য লাগবে।
"এখন DE রেখাংশের মানই হচ্ছে ৪/৫ তথা ০.৮," আমি বলি।
"কিন্তু এটি কীভাবে হলো, বাবা!" ফিতা ছাড়াই একটি ভগ্নাংশ এঁকে ফেলা দেখে সারাকা বিস্মিত ও আনন্দিত হয়।
সদৃশকোণী ত্রিভুজ CDE ও CAB-এর সাহায্যে প্রমাণ করে দেই, বাস্তবিকই DE = ০.৮। তারপর বলি, "এভাবে ১-এর সাহায্যে n/m জাতীয় যেকোনো ভগ্নাংশও আঁকতে পারবে তুমি, যেখানে n ও m দুটি পূর্ণসংখ্যা। এবার তাহলে ডিলিয়ান সমস্যাটির আরেকটু কাছাকাছি যাই। প্রদত্ত একটি বর্গের দ্বিগুণ ক্ষেত্রফলবিশিষ্ট বর্গ কীভাবে আঁকব আমরা? ধরো, ছোট বর্গটির বাহুর দৈর্ঘ্য n।"
বীজগণিতে হিসেব করে সারাকা:
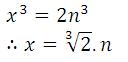
মনে করি, বড় বর্গের বাহুর দৈর্ঘ্য x। তাহলে
"ছোট বর্গের বাহুর √২ গুণের সমান করে একটি রেখাংশ টেনে তার উপর বর্গ আঁকব, বাবা।" সারাকা জবাব দেয়।
"প্রদত্ত একটি রেখাংশের ২ গুণ, ৩ গুণ আকারের রেখাংশ সহজেই টানা যায়, কিন্তু মা, √২ গুণ আকারের রেখাংশ কীভাবে টানবে তুমি? √২ একটি অমূলদ সংখ্যা, একে দশমিকে প্রকাশ করতে গেলে দশমিক বিন্দুর পর সীমাহীন ও এলোমেলোভাবে অঙ্ক আসতেই থাকবে, শেষ হবে না কখনো। ফলে ৪/৫-এর মতো কোনো ভগ্নাংশে প্রকাশ করতে পারছ না একে।"
"তাই তো!" এতো কাছে এসে সমাধানটি এত জটিল হবে ভাবতে পারেনি সারাকা। বিষণ্ণ হয়ে উঠে চেহারা তার।
খানিক পর হঠাৎ চিৎকার দিয়ে উঠে, "পেয়েছি, পেয়ে গেছি, বাবা! আলাদা করে বিচ্ছিন্ন কোনো রেখাংশ আঁকার দরকার নেই। আমরা জানি, কোনো বর্গের কর্ণের দৈর্ঘ্য তার বাহুর দৈর্ঘ্যের √২ গুণ, কাজেই কর্ণের উপর বর্গ আঁকলেই তার ক্ষেত্রফল আগের বর্গের ক্ষেত্রফলের দ্বিগুণ হয়ে যাবে।"
তীব্র হাসিতে উদ্ভাসিত হয় সারাকার মুখ। বাবাদের জীবন অর্থময় করার কতো আনন্দময় ঘটনাই না রয়েছে জগতে, মেয়ের হাসির দিকে তাকিয়ে থাকতে থাকতে ভাবি আমি।
"ঠিক হয়েছে, মামণি। আমি ভাবতে পারিনি, এত চমৎকারভাবে সমাধানটি ধরে ফেলবে। এবার তাহলে ডিলিয়ান সমস্যাটিই ধরি। একটি ঘনকের দ্বিগুণ আয়তনের ঘনক কীভাবে আঁকব আমরা?" আমি প্রশ্ন রাখি।
আবারও বীজগণিত:
মনে করি, ছোট ঘনকের বাহুর দৈর্ঘ্য n, বড় ঘনকের x। তাহলে
"ছোট ঘনকের বাহুকে ২-এর ঘনমূল দিয়ে গুণ করে তার সমান করে একটি রেখাংশ টানতে হবে।" পরবর্তী ১ ঘন্টা সমস্যাটি নিয়ে মেতে থাকে সারাকা, পৃষ্ঠার পর পৃষ্ঠা ভরে উঠতে থাকে তার আঁকাআঁকিতে।
মেয়ে আমার ব্যস্ত থাকুক গণিতে, পরীক্ষা হোক ধৈর্য্যের তার। জীবনে সফলতায় প্রচেষ্টার কোনো বিকল্প নেই, এমনকি প্রচেষ্টার ব্যর্থতাও মানব ইতিহাসে যুগযুগ ধরে জন্ম দিয়েছে যুগান্তকারী সব ঘটনা এবং আবিষ্কারের। আপনি যদি সম্রাট টলেমি ও গণিতবিদ ইউক্লিডের সে আলোচনায় উপস্থিত থাকতেন, স্পষ্ট শুনতে পেতেন ইউক্লিড দৃঢ়ভাবে বলে দিয়েছেন সম্রাটকে, জ্যামিতি শিক্ষায় রাজকীয় কোনো পথ নেই!
গণিতের প্রসঙ্গ রেখে এখন হয়তো আমাকে প্রশ্ন করবেন, শেষ পর্যন্ত কী হয়েছিল এথেন্সের! এ ব্যাপারে বিশদ বলে আপনাদের ক্লান্তি আর বাড়াতে চাই না আমি, কারণ হেলেকারন্যাসিসের হিরোডিটাস (Herodotus) বিস্তারিত বলে গেছেন পারস্য-গ্রিক যুদ্ধের কথা, আর এথেন্সের থুসিডিডিস (Thucydides)-এর কাছে শুনতে পাবেন স্পার্টা-এথেন্সের পেলোপনিসীয় এই যুদ্ধের বর্ণনা। তবে প্রাচীন ইতিহাস কিংবদন্তি পুরাণ পাঠে যথাসম্ভব সতর্কতার কথা নিশ্চয়ই আপনারা অবগত আছেন, সত্যের সাথে উপাখ্যানের পার্থক্য অনেক সময় যেখানে ক্ষীণ। সংক্ষেপে কাহিনী হচ্ছে এই—
এথেন্সের গণিতবিদগণ ব্যর্থ চেষ্টা চালিয়ে যায় দিন, মাস পেরিয়ে বছরের পর বছর। ডিলোস থেকে দ্বিতীয় দলটি ফিরে আসার পরপরই পেরিক্লিস নিজেই আক্রান্ত হয় প্লেগে, মারা যায় সেই হেমন্তেই। দেয়ালের ভেতর তীব্র প্রতিরোধ চালিয়ে যেতে থাকে এথেন্সবাসী, আর তাদের রণতরীগুলি পূর্বের মতো পাহারা দিতে থাকে ঈজিয়ানের দ্বীপবন্দরগুলি।
স্থলপথের যুদ্ধে এথেন্সকে আকৃষ্ট করতে না পেরে স্পার্টা অবশেষে মনোনিবেশ করে রণতরী নির্মাণে, কিন্তু এথেন্সের দুর্ধর্ষ নৌবহরের মুখোমুখি না হয়ে দক্ষিণ পূর্ব দিকে ঘুরে পারস্যরাজ সাইরাসের সহায়তায় হেলেসপন্ট (Dardanelles) প্রণালীতে এথেন্সের খাদ্যশস্যের উৎস অবরোধ করে তারা। এথেন্সের ক্ষুধার্ত রণতরীগুলো তখন এসে জড়ো হয় হেলেসপন্টে, কিন্তু তেমন দৃঢ় প্রতিরোধ ছাড়াই এথেন্সের বিশাল নৌবহর ধ্বংস হয় স্পার্টা ও পারস্যের সম্মিলিত বাহিনীর হাতে। ৪০৪ খ্রিস্টপূর্বাব্দে শেষ হয় পেলোপনিসীয় যুদ্ধ, আত্মসমর্পণ করে এথেন্স।
বিদায় নেবার আগে বলে যাই প্রিয় পাঠকদের, কেবল দাগহীন মাপকাঠি এবং বৃত্তাঙ্কনশলাকা দিয়ে ঘনকের দ্বিগুণকরণ অসম্ভব, এবং এ বিষয়টি আমরা জানতে পেরেছি পেরিক্লিসের প্রায় ২৩০০ বছর পর, মাত্র ১৮৩৭ খ্রিস্টাব্দে!
শুভ রাত্রি।
সর্বশেষ এডিট : ১০ ই নভেম্বর, ২০১১ রাত ২:০০

অনুগ্রহ করে অপেক্ষা করুন। ছবি আটো ইন্সার্ট হবে।




